Упр.491 ГДЗ Алимов 10-11 класс (Алгебра)
Решение #1
Решение #2

Рассмотрим вариант решения задания из учебника Алимов, Колягин, Ткачёва 10 класс, Просвещение:
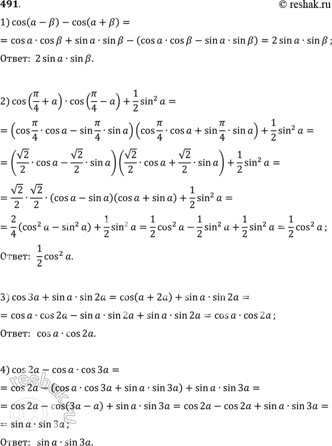
491 Упростить выражение:
1) cos (а - b) - cos (а + b);
2) cos (пи/4 + а)* cos(пи/4 -a) + 1/2sin2а;
3) cos За + sin a sin 2а;
4) cos 2а - cos a cos За
*размещая тексты в комментариях ниже, вы автоматически соглашаетесь с пользовательским соглашением