Упр.614 ГДЗ Алимов 10-11 класс (Алгебра)
Решение #1
Решение #2

Рассмотрим вариант решения задания из учебника Алимов, Колягин, Ткачёва 10 класс, Просвещение:
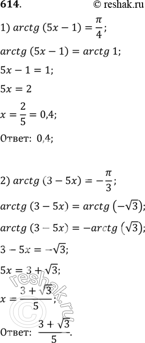
614 Решить уравнение:
1) arctg(5x-1)= пи/4;
2) arctg(3-5x)= -пи/3.
*размещая тексты в комментариях ниже, вы автоматически соглашаетесь с пользовательским соглашением